Новости Статьи Российское ПО VMware Veeam StarWind vStack Microsoft Citrix Symantec События Релизы Видео Контакты Авторы RSS
Виртуализация и виртуальные машины

Все самое нужное о виртуализации и облаках

Более 6510 заметок о VMware, AWS, Azure, Veeam, Kubernetes и других

VM Guru / Articles / Экономика инфраструктуры виртуализации: TCO, ROI, Payback, NPV, и каким образом VMware может работать как банк?

Экономика инфраструктуры виртуализации: TCO, ROI, Payback, NPV, и каким образом VMware может работать как банк?

Экономика инфраструктуры виртуализации: TCO, ROI, Payback, NPV, и каким образом VMware может работать как банк?

Автор: Александр Самойленко
Дата: 16/09/2009

Поддержите VM Guru!

USDT / TRC20, адрес: TCDP7d9hBM4dhU2mBt5oX2x5REPtq9QdU1




Статья:

Уважаемые коллеги! В связи с большим количеством вопросов о том, как же именно оценивать перспективы внедрения инфраструктуры виртуализации с экономической точки зрения, постараюсь в этой статье объяснить, как нужно считать деньги при выборе решения. Безусловно, перед многими компаниями сейчас стоит вопрос о том, какого вендора (VMware, Citrix, Microsoft или Parallels) выбрать и как составить технико-экономическое обоснование (ТЭО), в котором будет описано снижение затрат на содержание ИТ-инфраструктуры за счет виртуализации.

Прежде всего, что касается инструментальных средств: нужно прочитать статью "Расчет совокупной стоимости владения виртуализацией и экономии денег (TCO VMware, Citrix, Microsoft и Parallels)", где описаны базовые понятия экономики инфраструктур виртуализации, а также приведены ссылки на различные калькуляторы TCO (совокупной стоимости владения) и ROI (оценки возврата инвестиций) для различных платформ. А сегодня я постараюсь более детально раскрыть экономические понятия, которые принято использовать не только для виртуальной инфраструктуры, но и для определения экономической эффективности информационных систем в целом. В данной статье будет немного математики - так что подготовьтесь и имейте терпение.

TCO (Совокупная стоимость владения)

Итак, начнем с такого показателя, как Совокупная стоимость владения или TCO (Total Cost of Ownership).

TCO (Total Cost of Ownership) - сумма прямых и косвенных затрат, которые несет владелец системы на протяжении ее жизненного цикла (в данном случае ИТ-инфраструктура или ЦОД). Считается она как правило для жизненного цикла информационной системы, который составляет в среднем от 3 до 5 лет. Считается, что после этого времени система либо потребует серьезной модернизации либо замены - в любом случае будут необходимы капитальные затраты, учет которых выходит за рамки исследования, описываемого в данной статье. Поэтому TCO всегда считается для ограниченного периода времени - и, чаще всего, для 3-х лет, ведь именно это время в нормальных условиях "живет" сервер - базовая составляющая вашей ИТ-инфраструктуры.

Почему TCO является таким важным понятием? Все просто - при оценке стоимости внедрения виртуальной инфраструктуры большое внимание уделяется стоимости решения (капитальные затраты), а то, сколько денег позволяет сэкономить виртуализация, как правило, остается за бортом. Ведь сегодня на рынке есть как бесплатные продукты (Citrix XenServer, Microsoft Hyper-V), так и коммерческие платформы, обладающие большой стоимостью (например, VMware vSphere). Так почему же компании покупают, когда можно не покупать? Да потому, что эти решения имеют разный эффект - внедрив решение бесплатно можно не ощутить заметных экономических выгод, а заплатив деньги, можно сэкономить за 3 года гораздо больше чем вложили.

Экономия происходит не только за счет снижения прямых затрат (меншье серверов - консолидация систем, хранилища, коммутаторы SAN и LAN), но и за счет снижения косвенных издержек (электроэнергия и охлаждение ЦОД, аренда, администрирование и развертывание новых систем). Понятное дело, функциональность продукта влияет на второй тип затрат (косвенные затраты), которые по статистике составляют большую часть затрат на содержание ЦОД.

То, что бесплатное может быть дороже платного - факт, сегодня уже переставший многих удивлять.

С помощью почти любого калькулятора вы сможете оценить два очень важных параметра, влияющих на принятие решения о внедрении виртуальной инфраструктуры. Это Совокупная стоимость владения ИТ-инфраструктурой без виртуализации и, соответственно, с учетом ее внедрения. Давайте посмотрим пример расчета на калькуляторе от VMware (продукт vSphere):

Мы здесь видим два показателя TCO (с VMware и без VMware), а также сумму снижения затрат за три года в долларах и в процентах. Два основных вывода, которых мы можем сделать при анализе TCO:

  • Нужно выбирать решение с лучшим показателем снижения Совокупной стоимости владения.
  • Затраты на внедрение решения должны быть малы по сравнению с показателем снижения TCO.

Однако у показателя TCO есть и недостатки, несмотря на его универсальность. Например, если вы думаете о том, какой из проектов выбрать - внедрение виртуализации или усовершенствование системы упаковки бананов (например, вы поставляете бананы), то показатель TCO вам может оказаться не таким уж полезным. Ведь оба этих инвест-проекта приведут к снижению издержек, но какой из них выбрать? Какой из них более привлекателен с инвестиционной точки зрения? Может лучше просто вложить деньги в банк? Здесь на помощь приходят следующие финансовые оценки...

ROI (Возврат инвестиций)

ROI (Return On Investment) – возврат инвестиций, который можно посчитать как отношение полученных (сэкономленных) денег от виртуализации к вложенным средствам в проект. Важный момент: оба этих показателя должны быть измеримыми!

Если говорят о том, что ROI = 250%, значит на каждый вложенный рубль вернулось (сэкономилось) 2 рубля 50 копеек. На предыдущий вопрос ответ прост - из двух проектов стоит выбрать тот, у которого наибольшее ROI (кончено же нужно учитывать и масштабы и темпы снижения TCO). По статистике хорошее ROI - это 120-150%, а вот для больших внедрений компания VMware имеет вот такой пример расчета, где ROI составило 865% (у вашего финансового директора глаза вылезут из орбит)!

Большинство калькуляторов для различных платформ виртуализации, приведенных в первой части данной статьи, умеют считать ROI. Если у вас как у CIO несколько выборов чем заняться (внедрить то или сё), посчитайте ROI от внедрения платформ виртуализации - возможно это лучший способ удивить финансистов!

Но не всегда можно вот так просто распоряжаться деньгами - их иногда нужно и отдавать. Поэтому становится важным такой показатель как Окупаемость...

Payback (окупаемость)

Payback - это период времени, необходимый чтобы доходы, генерируемые результатом инвестиции, покрыли затраты на инвестиции. То есть если деньги на проект по виртуализации не ваши (бывает и такое), то отдадите вы их через срок, который и называется payback ("плати взад"). Понятное дело, доход от инвестиции должен быть "чистым", поскольку вкладываете вы конечную и свою "чистую" сумму денег. Виртуальная инфраструктура является информационной системой, которая обладает одним из самых малых времен окупаемости в ИТ-отрасли (по сложившейся практике учета финансовых средств).

Вот пример расчета Окупаемости для виртуальной инфраструктуры VMware (здесь виртуальная инфраструктура полностью окупила себя за 38 месяцев):

Очевидно, что Окупаемость оценивает также и риски невозврата инвестиций - чем больше время окупаемости, тем больше риски (если окупаемость приближается ко времени жизни системы - то риски велики). У показателя Окупаемость есть и недостаток: в целом, он не показывает инвестиционную привлекательность проекта с точки зрения дальнейшего дохода (после срока окупаемости). Если Окупаемость равна одному году, это не значит, что проект через два года будет приносить доход. Но спешу вас успокоить: с виртуальной инфраструктурой это не так. Снижение издержек после внедрения становится непрерывным. Вот пример того, как при одинаковой окупаемости в два года может оказаться, что выгоды от решения разные (разный совокупный денежный поток - Cash flow):

Очевидно, что Proposal A - это инфраструктура виртуализации, которая "продолжает работать, работать и работать" (c). Вывод - используйте показатель Payback совместно с другими метриками.

Time Value of Money (Стоимость денег)

Time Value of Money - это фундаментальный экономический принцип, показывающий Стоимость денег во времени. 100 долларов сейчас - это не 100 долларов через год (понятное дело, лучше брать сейчас). Этот принцип обоснован тем, что 100 долларов, полученных сейчас, уже сами по себе будут приносить доход в течение этого года (пусть даже в банке) и к концу года будут стоить дороже.

А вот если будет через год 150 долларов - то здесь уже стоит задуматься. Это и есть временная Стоимость денег (Time Value of Money). Строго говоря, она выражается в интересе инвестора (ваше ИТ-подразделение или компания) на заданном промежутке времени в данный проект (виртуальная инфраструктура).

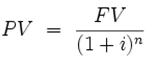
Текущая стоимость денег по сравнению с будущим возвратом инвестиций оценивается следующим образом (обычная обратная формула сложного процента):

где PV (Present Value) - текущая стоимость денег, FV (Future Value) - будущая стоимость через n лет, i (discount rate) - учетная ставка (в долях единицы), n - число лет, за которые происходит оценка. Учетная ставка - это сумма, на которую "деньги сейчас" дороже "денег потом", выраженная в процентах по отношению к "деньгам потом" (если сумма выражена в деньгах - то это просто дисконт). Учетную ставку для инвестиционных проектов можно оценивать как альтернативу внесению денег в банк.

В каком-то роде "деньги потом" обладают "инфляцией" по отношению к "деньгам сейчас", то есть удешевлением с течением времени (с точки зрения наблюдателя с деньгами - ему-то и надо от них избавиться). В таблице ниже представлено снижение Стоимости денег с течением времени при различной учетной ставке (от 0,05 до 0,25):

Как видно из таблицы, при самом плохом сценарии 100 долларов могут обесцениться до 26. То есть если у вас кто-то возьмет $100 и через 6 лет отдаст - считайте, что он отдал вам $26 (в год вы теряете 20% от оставшейся стоимости). Имейте, кстати, это в виду, когда даете кому-нибудь в долг:)

Или, если сказать другими словами и с другой стороны, если сейчас потратить $26 на инвестиции, то это будет адекватно $100, возвращенным через 6 лет при ставке в 25%. Само собой, такая ставка является явно завышенной. При реальных расчетах можно брать величину ставки в 5-15%, что будет соответствовать альтернативе, представляющей собой внесение денег в банк и извлечение прибыли.

Основной вывод по данному показателю - при расчете экономической эффективности системы (TCO и ROI) и учете потока денежных средств (Cash flow) в качестве возвращенных инвестиций нужно брать не фактически возвращенные суммы, а суммы "с дисконтом" - то есть с учетом снижения Стоимости денег в будущем (хотя бы из-за инфляции). Второй важный вывод - "деньги сейчас" стоят дороже "денег потом", поэтому вкладывать их в виртуальную инфраструктуру нужно уже сегодня!

Net Present Value (Приведенная стоимость)

Я вас еще не утомил? Потерпите, осталось немного. Принцип "Time Value of Money" показал нам, что считать экономическую эффективность примитивно не получится, если речь идет о возможности альтернативного использования денег. Таким образом мы плавно приходим к понятию Приведенная стоимость (Net Present Value, NPV), которое и есть оценка инвестиционной привлекательности проекта.

Рассмотрим таблицу (в ней, кстати, тот же пример, что и с Окупаемостью за 38 месяцев, ставка - 13 процентов):

Здесь прекрасно просматривается движение денежных средств по проекту (здесь он длится 4 года). Колонка Cash flow показывает нам приход-расход денежных средств. Сначала мы вложили $10 000 (год 0), а потом получаем прибыль от виртуальной инфраструктуры ($2K, $3K, $4K и $5K соответственно в каждый год). В колонке Cumulative Cash Flow мы четко видим баланс нашей инвестиции, а в колонке Discounted Cash Flow - "правильную" оценку стоимости возвращаемых от инвестиции денег (с учетом "инфляции" в 13%). Дальше очень просто - в колонке Cumulative Discounted Cash Flow совокупный дисконтированный баланс по инвестиции с учетом удешевления Стоимости денег, описанной в прошлом пункте.

А теперь, па-бам: за 4 года мы получили от вложения $10 000 в инфраструктуру виртуализации целых $4000 совокупного "грязного" дохода (см. колонку Cumulative Cash Flow). Вроде много - но с учетом ставки дисконта в 13 процентов, и, соответственно, снижения реальной Стоимости денег, мы получили доход всего в -$41,85 (то есть с учетом обесценивания денег практически вышли в ноль).

Приведенный баланс в -$41,85 представляет собой сумму всех дисконтированных (13%) поступлений от инвестиции за вычетом первоначальных затрат. Именно это значение и называется Приведенной стоимостью (Net Present Value или NPV). Положительное значение Net Present Value говорит об инвестиционной привлекательности проекта по сравнению с альтернативой, дающей стабильный доход. Отрицательное значение, наоборот, говорит о том, что с данной учетной ставкой инвестировать менее выгодно.

То есть мы не совсем заработали на инвестиции - а чуть-чуть потеряли. Но ведь мы же заработали около четырех тысяч долларов (хоть и "грязных")!

Получается, что виртуальная инфраструктура у нас работает как банк (не дает обесцениться деньгам компании), да еще и поддерживает работу виртуальных серверов.

Кстати, обратите внимание на Payback - он увеличился до 48 месяцев. То есть виртуальная инфраструктура полностью "отбивает" себя за 4 года, но с инвестиционной точки зрения выглядит нейтрально. Но что нам важно в инфраструктуре виртуализации? Нам важно, чтобы она исправно функционировала, балансировала нагрузку, обслуживала пользователей и т.п. Ну а то, что она приносит доход как банк - это уже дело финансистов, у которых при таком объяснении глаза будут проситься из орбит.

За сим откланиваюсь и даю пищу к размышлению. А если вы не поняли ничего - но очень хотите посчитать настоящий экономический эффект от внедрения виртуальной инфраструктуры VMware, Citrix, Microsoft или Parallels - милости просим к нам в VMC, посчитаем профессионально.

P.S. Статья использует картинки презентации "Capital Investments Appraisal for VMware Virtualization Solutions", показанной на VMworld 2009.

Интересное:





Зал Славы Рекламодателя
Ближайшие события в области виртуализации:

Быстрый переход:
VMware Kubernetes VMachines Enterprise Offtopic Broadcom Veeam Microsoft Cloud StarWind NAKIVO vStack Gartner Vinchin Nakivo IT-Grad Teradici VeeamON VMworld PowerCLI Citrix VSAN GDPR 5nine Hardware Nutanix vSphere RVTools Security Code Cisco vGate SDRS Parallels IaaS HP VMFS VM Guru Oracle Red Hat Azure KVM VeeamOn 1cloud DevOps Docker Storage NVIDIA Partnership Dell Virtual SAN Virtualization VMTurbo vRealize VirtualBox Symantec Softline EMC Login VSI Xen Amazon NetApp VDI Linux Hyper-V IBM Google VSI Security Windows vCenter Webinar View VKernel Events Windows 7 Caravan Apple TPS Hyper9 Nicira Blogs IDC Sun VMC Xtravirt Novell IntelVT Сравнение VirtualIron XenServer CitrixXen ESXi ESX ThinApp Books P2V VKS VCF Avi esxtop Memory VMConAWS vSAN Private AI VMmark Operations Certification NVMe AI vDefend VCDX Explore Tanzu Workstation Update Russian Ports HCX Live Recovery CloudHealth NSX Labs Backup Chargeback Aria VCP Intel Community Ransomware Stretched Network VMUG VCPP Data Protection ONE V2V DSM DPU Omnissa EUC Skyline Host Client GenAI Horizon SASE Workspace ONE Networking Tools Performance Lifecycle AWS API USB SDDC Fusion Whitepaper SD-WAN Mobile SRM ARM HCI Converter Photon OS VEBA App Volumes Workspace Imager SplinterDB DRS SAN vMotion Open Source iSCSI Partners HA Monterey RDMA vForum Learning vRNI UAG Support Log Insight AMD vCSA NSX-T Graphics HCIBench SureBackup Docs Carbon Black vCloud Обучение Web Client vExpert OpenStack UEM CPU PKS vROPs Stencils Bug VTL Forum Video Update Manager VVols DR Cache Storage DRS Visio Manager Virtual Appliance PowerShell LSFS Client Availability Datacenter Agent Book Photon Cloud Computing SSD Comparison Blast Encryption Nested XenDesktop VSA vNetwork SSO VMDK Appliance VUM HoL Automation Replication Desktop Fault Tolerance Vanguard SaaS Connector Event Free SQL Sponsorship Finance FT Containers XenApp Snapshots vGPU Auto Deploy SMB RDM Mirage XenClient MP iOS SC VMM VDP PCoIP RHEV vMA Award Licensing Logs Server Demo vCHS Calculator Бесплатно Beta Exchange MAP DaaS Hybrid Monitoring VPLEX UCS GPU SDK Poster VSPP Receiver VDI-in-a-Box Deduplication Reporter vShield ACE Go nworks iPad XCP Data Recovery Documentation Sizing Pricing VMotion Snapshot FlexPod VMsafe Enteprise Monitor vStorage Essentials Live Migration SCVMM TCO Studio AMD-V Capacity KB VirtualCenter NFS ThinPrint Troubleshooting Tiering Upgrade VCAP Orchestrator ML Director SIOC Bugs ESA Android Python Hub Guardrails CLI Driver Foundation HPC Optimization SVMotion Diagram Plugin Helpdesk VIC VDS Migration Air DPM Flex Mac SSH VAAI Heartbeat MSCS Composer
Полезные постеры:

Постер VMware vSphere PowerCLI 10

Постер VMware Cloud Foundation 4 Architecture

Постер VMware vCloud Networking

Постер VMware Cloud on AWS Logical Design Poster for Workload Mobility

Постер Azure VMware Solution Logical Design

Постер Google Cloud VMware Engine Logical Design

Постер Multi-Cloud Application Mobility

Постер VMware NSX (референсный):

Постер VMware vCloud SDK:

Постер VMware vCloud Suite:

Управление памятью в VMware vSphere 5:

Как работает кластер VMware High Availability:

Постер VMware vSphere 5.5 ESXTOP (обзорный):

 

Популярные статьи:
Как установить VMware ESXi. Инструкция по установке сервера ESXi 4 из состава vSphere.

Типы виртуальных дисков vmdk виртуальных машин на VMware vSphere / ESX 4.

Включение поддержки технологии Intel VT на ноутбуках Sony VAIO, Toshiba, Lenovo и других.

Как работают виртуальные сети VLAN на хостах VMware ESX / ESXi.

Как настроить запуск виртуальных машин VMware Workstation и Server при старте Windows

Сравнение Oracle VirtualBox и VMware Workstation.

Работа с дисками виртуальных машин VMware.

Диски RDM (Raw Device Mapping) для виртуальных машин VMware vSphere и серверов ESX.

Где скачать последнюю версию VMware Tools для виртуальных машин на VMware ESXi.

Как перенести виртуальную машину VirtualBox в VMware Workstation и обратно

Что такое и как работает виртуальная машина Windows XP Mode в Windows 7.

Подключение локальных SATA-дисков сервера VMware ESXi в качестве хранилищ RDM для виртуальных машин.

Как поднять программный iSCSI Target на Windows 2003 Server для ESX

Инфраструктура виртуальных десктопов VMware View 3 (VDI)

Как использовать возможности VMware vSphere Management Assistant (vMA).

Интервью:

Alessandro Perilli
virtualization.info
Основатель

Ратмир Тимашев
Veeam Software
Президент


Полезные ресурсы:

Последние 100 утилит VMware Labs

Новые возможности VMware vSphere 8.0 Update 1

Новые возможности VMware vSAN 8.0 Update 1

Новые документы от VMware

Новые технологии и продукты на VMware Explore 2022

Анонсы VMware весной 2021 года

Новые технологии и продукты на VMware VMworld 2021

Новые технологии и продукты на VMware VMworld 2020

Новые технологии и продукты на VMware VMworld Europe 2019

Новые технологии и продукты на VMware VMworld US 2019

Новые технологии и продукты на VMware VMworld 2019

Новые технологии и продукты на VMware VMworld 2018

Новые технологии и продукты на VMware VMworld 2017



Copyright VM Guru 2006 - 2026, Александр Самойленко. Правила перепечатки материалов.
vExpert Badge